Tajuk 6
Mengaplikasikan Struktur Perpautan dalam Penyusunan Bahan Pengajaran dan Pembelajaran Bahasa Melayu
Struktur Hierarki dan Struktur Komposit
Struktur Linear
Struktur Rangkaian
_________________________________________________________________________________________________________________________________
Mengaplikasikan Struktur Perpautan dalam Penyusunan Bahan Pengajaran dan Pembelajaran Bahasa Melayu
1. Struktur Linear

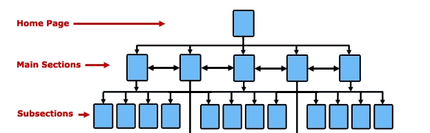
2. Struktur Hierarki

3. Struktur Rangkaian

3. Struktur Komposit

Tugasan amali:
A. Cari maklumat tentang perkara-perkara berikut:
1. Struktur Hierarki
2. Struktur Komposit
3. Struktur Linear
4. Struktur Rangkaian
B. Setelah anda memahami struktur penyusunan di atas, rancang dan bina penyusunan bahan pengajaran Bahasa Melayu menggunakan struktur penyusunan tersebut.